flowchart LR A(IRA) --> B(Subsidies) B --> C(Investment) B --> D(Jobs) C <--> D C --> E(Domestic Manufacturing) D --> E(Domestic Manufacturing)
March 23, 2024
flowchart LR A(IRA) --> B(Subsidies) B --> C(Investment) B --> D(Jobs) C <--> D C --> E(Domestic Manufacturing) D --> E(Domestic Manufacturing)
Inputs:
Things that go into an activity; money, people, time, etc.
Activities:
Actions that convert inputs to outputs; things that the program does
Outputs:
Tangible goods and services produced by activities; you have control over these
Outcomes:
What happens when the target population uses the outputs; you don’t have control over these
Inputs → Activities → Outputs → Outcomes → Final outcomes
Source: Gertler et al. (2016)
Source: Andrew Wheiss
Real experiments could be
Directed: Each node has an arrow that points to another node
Acyclic: You can’t cycle back to a node (and arrows only have one direction)
Graph: It’s a graph
Source: Andrew Wheiss
Step 1: List variables
Step 2: Simplify
Step 3: Connect arrows
Step 4: Use logic and math to determine which nodes and arrows to measure
What is the causal effect of an additional year of education on earnings?

Source: Andrew Wheiss
A causal effect is identified if the association between treatment and outcome is propertly stripped and isolated.
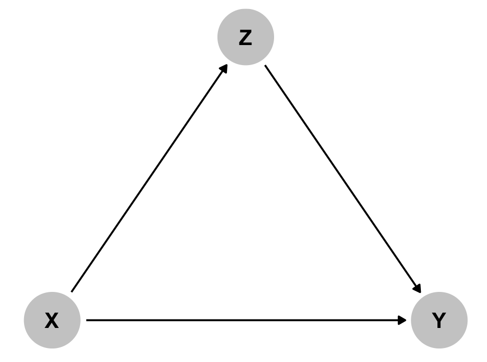
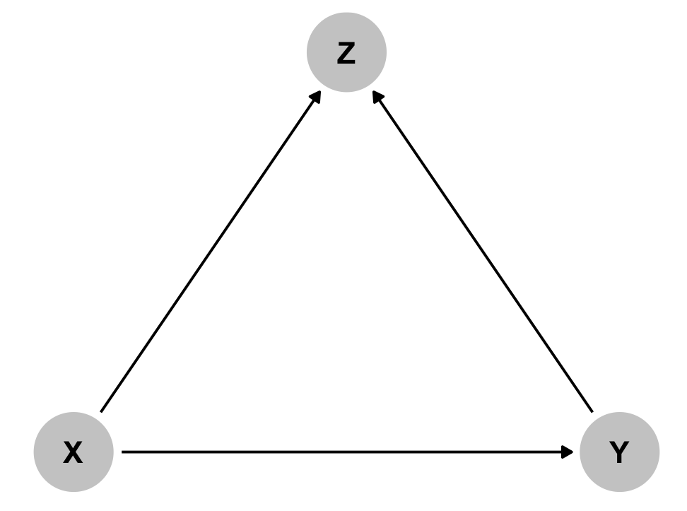
Confounding: Common cause

Causation: Mediation

Collision: Endogeneity/Selection

Source: Andrew Wheiss
What’s the relations between money and win margin?

Money \(\rightarrow\) Win
Money \(\leftarrow\) Quality \(\rightarrow\) Win
Quality is a backdoor
Solution:
Find the part of campaign money that is explained by quality, remove it. This is the residual part of money.
Find the part of win margin that is explained by quality, remove it. This is the residual part of win margin.
Find the relationship between the residual part of money and residual part of win margin. This is the causal effect.

Should you control job connections?
Source: Andrew Wheiss

Do programming skills reduce social skills?
Hired by a tech company inadvertently connected the two.
Source: Andrew Wheiss

Height is unrelated to basketball skill among NBA players
Colliders can create fake causal effects
Colliders can hide real causal effects
Source: Andrew Wheiss
